Международный клуб владельцев и любителей Нива Тревел, Легенда, Шевроле Нива и Лада 18+





 [ Сообщений: 5 ] 
Автор Сообщение
 
Не в сети
 Заголовок сообщения: Ошибка 0339
Сообщение Добавлено: 03 фев 2026, 12:51  
Аватара пользователя
Старожил
Старожил

    2749
Автор темы
  •  1352
  • 40

  •  24 янв 2024, 18:21

  •  Владимир

Блог: Просмотр записи (0)
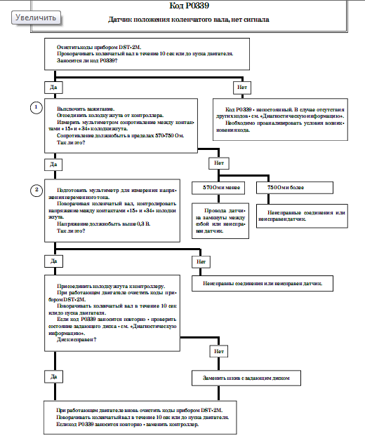
Вчера вечером грел машину перед поездкой домой, и решил от нечего делать проверить авто на ошибки. Чисто на всякий случай. К моему удивлению, обнаружилась вот такая штука: Р0339 "Датчик положения коленчатого вала А, сигнал непостоянный".
Странно, потому что никаких заморочек не было, двигатель как работал, так и работает. Единственное - на морозе после простоя обороты слегка плавают на прогреве, но это и раньше было. В общем, стер ошибку и уехал домой.
Утром прибыл на работу, проверил, ошибки нет. Что бы это могло быть? Кстати, появилась она после замены радиатора и патрубков, которую в выходные делал в автосервисе. Возможно, совпадение.


Вложения:
Ошибка 0339.jpg
Ошибка 0339.jpg [ 39.68 КБ | Просмотров: 696 ]
Вернуться к началу
 Профиль  
 
 
Не в сети
 Заголовок сообщения: Re: Ошибка 0339
Сообщение Добавлено: 03 фев 2026, 13:08  
Старожил
Старожил

    631
  •  4204
  • 67

  •  06 дек 2018, 00:20

Блог: Просмотр записи (0)
Колено сильно остывшего мотора при запуске проворачивалось слишком медленно для генерации в ДПКВ напряжения с амплитудой более 0,3 В.


Вернуться к началу
 Профиль  
 
 
Не в сети
 Заголовок сообщения: Re: Ошибка 0339
Сообщение Добавлено: 03 фев 2026, 14:03  
Аватара пользователя
Старожил
Старожил

    2749
Автор темы
  •  1352
  • 40

  •  24 янв 2024, 18:21

  •  Владимир

Блог: Просмотр записи (0)
@aspb , спасибо, надеюсь, что так оно и есть. Морозец действительно крепчает, неохота сейчас заменой датчика заниматься


Вернуться к началу
 Профиль  
 
 
Не в сети
 Заголовок сообщения: Re: Ошибка 0339
Сообщение Добавлено: 03 фев 2026, 15:29  
Аватара пользователя
Профи
Профи

    12819
  •  7147
  • 72

  •  01 мар 2016, 16:29

  •  Аул в горах. Высоко над облаками

Блог: Просмотр записи (0)
Может, лучше морозом? :smile_bigsmile:

_________________
Не торопись! Успеешь ...


Вернуться к началу
 Профиль  
 
 
Не в сети
 Заголовок сообщения: Re: Ошибка 0339
Сообщение Добавлено: 03 фев 2026, 15:46  
Старожил
Старожил

    1092
  •  3884
  • 57

  •  23 сен 2017, 19:54

  •  Липецк

Блог: Просмотр записи (0)
Вложение:
Screenshot_1.png
Screenshot_1.png [ 52.63 КБ | Просмотров: 629 ]

Вложение:
Screenshot_2.png
Screenshot_2.png [ 52.76 КБ | Просмотров: 629 ]

_________________
RS0Y5-42-02D


Вернуться к началу
 Профиль  
 
Показать сообщения за:  Поле сортировки  
Начать новую тему Ответить на тему  [ Сообщений: 5 ] 


Кто сейчас на конференции

Сейчас этот форум просматривают: нет зарегистрированных пользователей и гости: 7


Вы не можете начинать темы
Вы не можете отвечать на сообщения
Вы не можете редактировать свои сообщения
Вы не можете удалять свои сообщения
Вы не можете добавлять вложения

Перейти: